重新導向訊息

隱私權政策

我允許 Metrohm AG 及其子公司和獨家經銷商根據其隱私權政策存儲和處理我的資料,並通過電子郵件、電話或信件與我聯繫以回覆我的詢問和用於廣告目的。我可以隨時通過發送電子郵件至 info@metrohm.com.tw 撤回此同意。

此為必要欄位。

您是否有遇到過滴定曲線的當量點不易區分或者確定的情況?

可以試下本期給您介紹的方案 — 恆速滴定,主要內容將囊括:

1. 什麽是恆速滴定?適用於什麽測定?

2. 如何實現恆速滴定?

3. 恆速滴定的應用案例

一、什麽是恆速滴定?適用於什麽測定?

1. 間歇式滴定及適用的反應

現在的滴定,幾乎都是以間歇式的方式進行滴定。滴加的滴定劑,以定量、單一、快速地與被測物反應,反應過程被指示電極監控。只有當反應逐漸停息的時候,系統才會滴加下一滴滴定劑。

間歇式滴定方法適用於許多滴定反應,尤其是那些具有明確的滴定終點和快速反應的反應。它可以提供更加精確和高效的滴定結果,並被廣泛應用於化學分析和實驗室測量中。滴定結果與滴定條件的相關性比較弱。

然而,也有很多特殊樣品並不適合這種滴定方式。

2. 恆速滴定及適用的反應

例如有高緩衝量的滴定、多混合物滴定、信號突躍特別劇烈的反應,這些反應有一個共同的特點,即滴定結果與滴定條件的相關性比較強。

針對這些情況,除標準方法有明確規定滴定條件外,可以考慮使用恒速滴定的方法。

恆速滴定的原理是:在滴定過程中,滴定液以恆定的速率滴加到被測溶液中,直到滴定終點出現。

二、如何實現恆速滴定?

現代的滴定儀一般都不配置這一滴定模式,但可以透過模擬的方式實現這一功能。

以下以在 DET 模式下實現恆速滴定為例進行演示。如下圖:

三、恆速滴定的應用案例

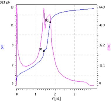
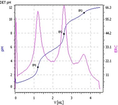
1. NaOH 滴定 H3PO4+HNO3+HAc 混酸

(1)普通的DET方法的效果:

(2)恆速滴定方法:體積增量 20uL、加液速度 2mL/min

可以看出,恆速滴定對當量點的分辨會更好一些,可以測出 [H2PO4]- 的當量點。

2. NaOH 滴定 Pb(NO3)2

(1)普通的DET方法的效果:

(2)恆速滴定方法:體積增量 20uL、加液速度 2mL/min

第一當量點為 Pb(OH)2 沈澱反應,第二個當量點為 Pb(OH)4 絡合反應。

3. 氯化十六烷基吡啶光度法滴定硫酸軟骨素鈉方法

硫酸軟骨素可與氯化十六烷基吡啶生成穩定的乳濁液,用光度法(550nm)測量滴定杯中溶液的吸光度,並將吸光度轉換為電位。

常規的 DET,可以獲得如右曲線:

隨著滴定進行,濁度逐步提高,電位逐步下降,但滴定生成物會進一步形成膠束,此時溶液反而會變得澄清,滴定曲線電位增加,這將造成當量點的不穩定,增加了測量難度。

而用恆速滴定(體積增量 20uL、加液速度 2mL/min),可以獲得比較理想的滴定曲線。

小結:

恆速滴定,適合緩衝性強的樣品、當量點不易區分的混酸樣品、對滴定條件苛刻的表面活性劑滴定,是一種常規滴定方法的補充

需要特別說明,恆速滴定需要一定的優化,才能獲得最佳結果。