重定向消息

隐私权声明

我允许瑞士万通公司根据其个人信息保护政策记录和储存我的数据,并通过电子邮件、电话或信件与我联系以回复我的询问等目的。 我可以随时通过发送电子邮件至 marketing@metrohm.com.cn 撤回此同意。

该字段为必填。

本篇文章小编带大家一起看一下离子色谱常见的两类异常谱图及相应的解决方案:

1. 峰形异常

2. 基线波动异常

 

一、峰形异常

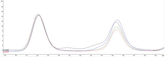
案例1 峰不对称,峰拖尾

谱图分析

叠加对比这两个分析谱图,可以发现黑色谱图峰形展宽。

原因分析

(1)保护柱失效;

(2)死体积较大。

解决方案

(1)更换失效的保护柱;

(2)检查进样阀和检测器之间的毛细管连接,必须使用内径为 0.25 mm 的PEEK(聚醚醚酮)毛细管,减小死体积。

案例2:有倒峰

谱图分析

在5.1分钟左右出现很强的负峰

原因分析

淋洗液可能存在该离子的污染

解决方案

彻底清洗淋洗液瓶,用超纯水和高纯度试剂配制新鲜淋洗液。

案例3:基线一直上升到好几百

谱图分析

在100min的时候基线直线上升到好几百,没有下降趋势。

原因分析

抑制柱容量耗尽的现象。基线电导率程先降后急升的现象。可能有如下原因:

(1)采集时间过长;

(2)淋洗液浓度过大;

(3)硫酸再生不充分;

(4)抑制柱芯被污染。

如果在测试样品过程中出现,一般是由于:

(1)采集时间过长;

(2)淋洗液浓度过大导致的;

如果在平衡的时候就出现这个现象,一般是由于:

(3)硫酸再生不充分;

(4)抑制柱芯被污染导致的。

解决方案

(Ⅰ)针对(3)硫酸再生不充分,(4)抑制柱芯被污染这种情况,首先检查硫酸废液是否正常流出(2s-4s一滴),

✔ 如果没有正常流出,会导致再生不充分;

✔ 如果正常流出,可能是污染导致的柱容量下降。

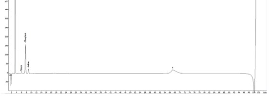
(Ⅱ)针对(1)采集时间过长,(2)淋洗液浓度过大的情况,先观察谱图,选择没有出峰的时间进行抑制器的切换,然后在方法时间程序里面的适当时间位置,设置切换程序。

示例如右图:

打开方法,选中数据采集的下一行,右键单击,选择new

案例4:结果重复性差

谱图分析

样品峰结果重复性差

原因分析

(1)谱图峰面积依次升高,系统可能存在污染,导致上一针样品残留进入到下一针样品中。

一般是进样系统存在样品的残余或样品的进样回路有交叉污染情况。

(2)谱图峰面积没规律,可能分析物不稳定,或者组分溶剂挥发。

解决方案

(1)清洗整个系统,

(2)样品低温保存,样品瓶加盖。

案例5:基线斜向下

谱图分析

谱图开始一段时间内出现基线漂移,呈现滑梯式由高电导率逐渐走平。

原因分析

这是因为在抑制器再生和清洗过程中,抑制柱未得到完全清洗,可能是由于超纯水走空或者蠕动泵管未卡紧所致。

解决方案

(1)检查蠕动泵,检查蠕动泵管是否老化磨损,卡紧清洗路蠕动泵管;

(2)检查超纯水是否走空;

(3)检查在线过滤器是否堵塞;

(4)检查超纯水冲洗管路和硫酸管路是否正确连接。

二、 基线波动

案例1:基线不稳定,不规则波动

谱图分析

长频脉冲波动

原因分析

(1)淋洗液盐未完全溶解,进液过程中逐渐溶解,导致基线电导率逐渐升高;

(2)或温度未平衡不稳定。

解决方案

(1)淋洗液充分溶解、过滤、超声后上机,

(2)关闭柱温箱门。

注意:

如果基线一直缓慢斜向下不能走平,可能是抑制器污染导致的

✔ 建议根据之前做的样品基体类型来进行抑制器再生,用下面相应的溶液替换现在的硫酸,正常平衡切换即可。

(1)重金属污染:用0.1M草酸+1M硫酸;

(2)有机物污染:用0.1M硫酸+20%丙酮;

(3)两种污染都有,用0.1M草酸+0.1M硫酸+5%丙酮。

✔ 平衡半个小时到一个小时后再观察基线,待正常后再换成0.1M硫酸。

 

案例2:基线噪声大

谱图分析

基线不稳且噪声很大

原因分析

检测器存在气泡

解决方案

(1)电导检测器/紫外检测器中如果有气泡:用注射器向检测器中分别推入10mL纯水和甲醇冲洗。

(2)安培检测器基线噪声大或者有气泡,可以参考:安培检测器原理、应用与维护。

案例3:基线规律波动

谱图分析

短频脉冲波动

原因分析

这种频率的基线波动一般是淋洗液流动不稳定所致

解决方案

(1)检查高压泵单向阀和密封圈。

一般单向阀原因的概率比较高,由内在的宝石密封珠无法顺滑滚动引起。而密封珠无法顺滑滚动,则有可能是由淋洗液结晶或密封珠磨损引起,前者用水反复和正反冲洗单向阀即可,后者需要更换单向阀。

(2)检查吸液过滤器

(3)检查在线过滤器

 

推荐离子色谱仪型号:

 

ECO离子色谱仪