Vous avez été redirigé vers la version locale de la page demandée

Galvanostatic intermittent titration technique (GITT) for Li-ion batteries

AN-BAT-003

2025-07

fr

This Application Note outlines GITT, a key technique for studying Li-ion battery kinetics, OCV, and diffusion, using INTELLO for streamlined control and analysis.

The galvanostatic intermittent titration technique (GITT) is a powerful electrochemical method widely used for characterizing the kinetics and thermodynamics of battery materials.

GITT has three major applications for lithium-ion (Li-ion) batteries: the determination of the diffusion coefficient, open-circuit voltage (OCV) analysis, and overpotential/internal resistance analysis. Ultimately, this technique provides valuable insights into the electrochemical behavior of materials under realistic operating conditions, making it an essential tool for researchers and engineers involved in battery development and optimization.

This Application Note presents an overview of GITT, detailing its principles, procedural steps, and applications in the field of energy storage. The following sections will outline the methodology and data analysis. INTELLO and its powerful suite of battery-oriented commands will be shown. 

A GITT procedure consists of a series of fixed current pulses that correspond to a known C-rate. Each current pulse is followed by a relaxation time, during which time no current passes through the cell. The current is negative during the discharge and positive during the charge. Most often, GITT is performed on a three-electrode battery (i.e., one containing a reference electrode), although it can also be a valuable exercise to perform it on a two-electrode battery. 

Some assumptions are made during the analysis of data that influence the experimental conditions we apply to the cell during the measurement. The first is that each pulse step produces only a very small potential change. For that to be true, the current must be small relative to the capacity of the battery, which means that C-rates of C/10 and C/20 are common for the current pulses. The length of the current pulse is also kept relatively short, usually between 5 and 30 minutes.

The next assumption is that an equilibration state is reached during the relaxation step. Since the time for this to occur is different for every cell and system, the length of the relaxation step varies more. In some cases it can be minutes, in others it can be longer—around 1–2 hours—and in extreme cases, more than 10 hours. It is important to take note of this when investigating new materials and to adjust the relaxation time accordingly. Since a complete GITT measurement requires that the battery is taken from fully charged to fully discharged and back again, it can take longer than a month in some cases to complete a full measurement. As a galvanostatic technique, it is the E vs. time signal which is analyzed at the end of the measurement. 

Figure 1. Complete GITT potential profile of a two-electrode battery being discharged and charged with current pulses that last 10 minutes, followed by a 60-minute rest period.

In Figure 1, a typical GITT plot on a two-electrode battery is shown. There are two branches in the plot, corresponding first to when the cell is discharged to a lower cut-off voltage, and second to when the cell is charged to an upper cut-off voltage. An enlarged section of the discharge part of plot is shown in the insert of Figure 1. It’s clear from this insert that the plot is made of a series of active (blue) and rest (orange) steps. Charging and discharging the battery in this manner, with a series of current pulses, has some interesting consequences that allow researchers to extract some extra information from the battery. These are described below. 

Figure 2. The first five current pulses are shown here. The pink bars across the top of the figure relate to the current applied to the cell during each step. Highlighted are the iR drop, the voltage change during the current pulse, and the voltage change in steady-state voltage due to the current pulse.

During a negative current pulse, the cell potential quickly decreases to a value proportional to the iR drop, where R is the sum of the uncompensated resistance Ru and the charge transfer resistance RCT. Afterwards, the potential slowly decreases, due to the galvanostatic discharge pulse, in order to maintain a constant concentration gradient. When the current pulse is interrupted (i.e., during the relaxation time), the composition in the electrode tends to become homogeneous by Li-ion diffusion. Consequently, the potential first suddenly increases to a value proportional to the iR  drop, and then it continues to slowly increase until the electrode is again in equilibrium (i.e., when dE/dt ≈ 0 ) and the open circuit potential (OCP) is reached. Then, the galvanostatic pulse is applied again, followed by current interruption. This sequence of a discharge pulse followed by a relaxation time is repeated until the battery is fully discharged. During a positive current pulse, the opposite holds, which is repeated until the battery is fully charged. 

Shown in Figure 2 are the first five current pulses of the sequence; highlighted is the iR drop and ΔE– the voltage change during the current pulse, and ΔEs – the change in the equilibrium or steady-state voltage due to the current pulse. All are useful in analysis of the GITT plot. 

Diffusion Coefficients

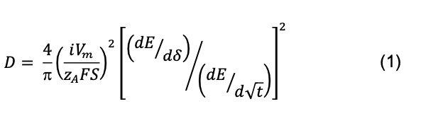
The following equation is used to calculate the diffusion coefficient at each step (pulse plus relaxation) in the GITT procedure. Its derivation from Fick’s laws of diffusion is explained elsewhere [13].

Here, i (A) is the current, Vm  (cm3/mol) is the molar volume of the electrode, zA is the charge number, F is Faraday’s constant (96485C/mol), and (cm2) is the electrode area. Additionally, dE/dδ is the steady-state voltage change and dE/d√t is the transient voltage change during one galvanostatic titration step.  

If sufficiently small currents (e.g., C/20) are applied for short time intervals (e.g., 10 minutes) then dE/d√t can be considered linear. With these additional conditions, the previous equation can be simplified to:

Here, τ (s) is the duration of the current pulse, nm (mol) is the number of moles, V (cm3/mol) is the molar volume of the electrode, S (cm2) is the electrode area, ΔEs (V) is the steady-state voltage change due to the current pulse, and ΔEt (V) is the voltage change during the constant current pulse—eliminating the iR drop. 

Typically, after the diffusion coefficient at each step is determined, it is then plotted as a function of either the state of charge (SOC) or capacity of the battery. The changing state of charge is accompanied by physical changes in the electrode which can affect the diffusion of lithium ions. Monitoring the diffusion coefficient in this manner gives important insights into battery performance across the full charge/discharge cycle and helps researchers to optimize the performance of materials. 

 

 

Open Circuit Potential

The OCP of a material at different states of charge is determined very accurately during the GITT procedure and contains some interesting thermodynamic information about the battery material [1].

In this context, the OCP can also be defined as the chemical potential difference (μ) of lithium ions in the cathode and anode: 

In this equation, x is the amount of lithium in the battery and e is the magnitude of the electronic charge.

Plotting this also as a function of SOC or capacity is a useful tool to reveal changes in the electrochemical reaction of the battery as it is cycled. 

 

 

Overpotential and Internal Resistance

 

In addition to the OCP, it can also be useful to look at the overpotential at each step. The overpotential is defined as the difference between the measured cell voltage at the end of the current pulse (Emeas) and the voltage at the end of the relaxation step (Eeq) [1]. 

Considering the overpotential as a function of the SOC as well as the OCP can reveal kinetic and thermodynamic changes that are sometimes hidden by just looking at the overpotential in isolation. It is also possible to instead consider changes in the internal resistance, which is essentially normalizing the overpotential to the applied current: 

Table 1. Details of the battery samples measured in this study.
Sample Number of electrodes Form Capacity / mAh
1 Two Cylinder 3270
2 Three Pouch 4150

To illustrate the principle of a GITT measurement, the technique was performed on two batteries with two and three electrodes, respectively, using VIONIC powered by INTELLO. There are two default procedures within the INTELLO library which are meant for GITT: one on a two-electrode battery and one on a three-electrode battery. The main parameters are C-rate, pulse, and rest durations, appropriate choices for which are discussed in the measurement section above. Also quickly available are the voltage cut-offs, which are related to the battery under study (keep reading for some examples). For the 3-electrode procedure, cut-offs on both the WE-Second Sense (S2) and WE.potential signals are provided. Finally, parameters for adjusting the dynamic sampling rate are available. The standard plots are pre-built for convenience. Although we focus primarily on INTELLO in this Application Note, the same approach would be possible with an Autolab instrument and NOVA. 

Table 2. Experimental details used in this Application Note. 
Sample C-rate Pulse duration / min Rest duration /min
1 C/10 10 60
2 C/10 10 10

In both cases studied, the samples were fully charged with a constant 0.5C before the GITT measurement was made. In the case of Sample 1, it was then discharged from 4.2 V to 3 V and then charged again to 4.2 V. Sample 2, which has a different chemical makeup, was discharged from 3.65 V to 2.5 V and then charged again to 3.65 V. 

Figure 3. GITT profile of sample 1, a two-electrode battery with a capacity of 3270 mAh.

The GITT profile of Sample 1 (the two-electrode battery) is presented in Figure 3. The conditions were satisfied such that it would be possible to calculate the OCP, overpotential, and internal resistance, and then plot this data vs. the SOC. However, since this a two-electrode battery it is not possible to separate the diffusion contributions from the anode and cathode—therefore calculating the diffusion coefficient is impossible. 

Figure 4. GITT profile of sample 2, a three-electrode battery with a capacity of around 4150 mAh.

The GITT profile of Sample 2 is shown in Figure 4. There are three potential signals in INTELLO: WE.potential, S2.potential, and WE-S2.potential. The standard connection to the three-electrode battery was made where the WE+S connected to the positive terminal, the CE+S2 connected to the negative terminal, and the RE connected to the reference electrode. The WE.potential (S to R) signal is the potential at the cathode, and the S2.Potential (S2 to R) signal is the potential at the anode. If the S2.potential is subtracted from the WE.potential, the voltage across the whole battery is calculated (i.e., the WE-S2 potential signal). Hence, in this case, the GITT profile is the WE-S2 potential vs. t. But the described analysis can also be performed independently on each potential signal, WE-RE and S2-RE, giving information about the diffusion of one or two half-cell materials. 

Even though the experimental data would allow us to carry out further analysis and to calculate the diffusion coefficients, unfortunately it was not possible in this case due to the fact that the surface area and the molar volume were not provided by the manufacturer of the battery used in this experiment. 

The principle of the GITT technique has been shown and methods of data analysis introduced. GITT is a powerful nondestructive technique for the analysis of the thermodynamic and kinetic properties of new battery material. The drawback is the long measurement time.

VIONIC powered by INTELLO is well suited to perform GITT on two-electrode batteries, and on three-electrode batteries as well with the second sense (S2) functionality of VIONIC. The untethering feature of VIONIC frees up the user’s PC while the measurement is run, which somewhat mitigates the long run times of these experiments.

GITT

 

  1.  Kim, J.; Park, S.; Hwang, S.; et al. Principles and Applications of Galvanostatic Intermittent Titration Technique for Lithium-Ion Batteries. J. Electrochem. Sci. Technol 2021, 13 (1), 19–31. DOI:10.33961/jecst.2021.00836
  2. Shen, Z.; Cao, L.; Rahn, C. D.; et al. Least Squares Galvanostatic Intermittent Titration Technique (LS-GITT) for Accurate Solid Phase Diffusivity Measurement. J. Electrochem. Soc. 2013, 160 (10), A1842. DOI:10.1149/2.084310jes
  3.  Zhu, Y.; Wang, C. Galvanostatic Intermittent Titration Technique for Phase-Transformation Electrodes. J. Phys. Chem. C 2010, 114 (6), 2830–2841. DOI:10.1021/jp9113333
Contact

Metrohm Suisse SA

Industriestrasse 13
4800 Zofingen

Contact