You have been redirected to your local version of the requested page

Fast determination of acid and base number by thermometric titration

Jan 25, 2021

Article

en

Determine the acid number and base number in petroleum products quickly and reliably with thermometric titration.

Privacy Policy

I allow Metrohm AG and its subsidiaries and exclusive distributors to store and process my data in accordance with its Privacy Policy and to contact me by e-mail, telephone, or letter to reply to my inquiry and for advertising purposes. I can withdraw this consent at any time by sending an e-mail to info@metrohm.com.au

This field is required.

Acid number (AN) and base number (BN) are critical parameters in the quality control of petroleum products as they are often stipulated by product specifications. Traditionally both parameters can be determined by potentiometric or photometric titration according to various standards such as ASTM D664 (Standard Test Method for Acid Number of Petroleum Products by Potentiometric Titration), ASTM D2896 (Standard Test Method for Base Number of Petroleum Products by Potentiometric Perchloric Acid Titration), or ASTM D974 (Standard Test Method for Acid and Base Number by Color-Indicator Titration). However, there is a rapid and reliable alternative titration method – thermometric titration.

Why determine the acid and base number?

The acid number is an indication for the amount of acids present in petroleum products. Weak acids present in crude oils (e.g., naphthenic acid) can be linked to corrosion of refinery equipment. For petroleum products, aging can lead to the buildup of acids, which increases the risk of corrosion to pipes and holding tanks.

To prevent such an acidic buildup, basic additives are added to refined petroleum products, such as lubricating oil. These basic additives neutralize the weak acids and can prevent corrosion. The amount of basic additives can be characterized using the base number.

What is thermometric titration?

Thermometric titration (TET) is based on the principle of enthalpy change. Each chemical reaction is associated with a change in enthalpy that in turn causes a temperature change. This temperature change during a titration can be measured with a highly sensitive thermistor (Figure 1) in order to determine the endpoint of the titration.
 

If you would like to read more about the basic principles of thermometric titration, click below for our previous blog post.

Thermometric titration – the missing piece of the puzzle

TET: the best choice for AN and BN determination

Figure 1. Metrohm’s maintenance-free Thermoprobe used for fast and reliable indication of thermometric titration endpoints.

If you’ve performed a potentiometric titration of the acid and base number, you probably know that not all samples are soluble in the solvent mixture. Even if they are soluble, several cleaning steps (including conditioning of the electrode after each titration) are necessary in order to achieve good reproducibility.

While photometric titration provides an alternative indication method for samples which are not colored, the solubility issue remains. Thermometric titration of the AN according to ASTM D8045 provides the ideal solution to all of these issues.

  • The xylene:IPA (3:1) solution allows better solubility of many samples, especially crude oils
  • Endpoint indication is not affected by colored samples
  • The Thermoprobe requires no conditioning or additional cleaning steps – only a rinse with solvent
  • The Thermoprobe is maintenance-free – no electrolyte refilling necessary, just store it dry

There are even more benefits if compared to the potentiometric titration according to ASTM D664 or ASTM D2896.

  • Less solvent used: 30 mL instead of 60 mL or 120 mL saves additional costs and reduces waste
  • Faster titrations: half the time of potentiometric titrations, saving about 2 minutes per analysis
  • Robust sensor: the Thermoprobe is completely maintenance-free and needs no conditioning, further reducing analysis time.

For a comprehensive comparison between the AN determination according to ASTM D8045 (thermometric titration) and ASTM D664 (potentiometric titration), check out Table 1 below. While the titrant and solvent mixtures differ if you perform a base number determination, the values for solvent volume, titration time, electrode conditioning, and sensor maintenance reflect the comparison between thermometric base number determination and potentiometric determination according to ASTM D2896 very well. Discussions for an ASTM standard on thermometric BN determinations are currently ongoing within the respective committee.

Table 1. Comparison between ASTM D664 and ASTM D8045 concerning various parameters.

Since you are titrating faster, using less solvent, and do not have to perform complicated sensor maintenance, you can save quite a bit of money by switching to thermometric titration.

Not convinced yet? One of our customers, Thomas Fischer from Oel Check GmbH, Germany, talks about his positive experiences with Metrohm thermometric titration below.

How to perform the analysis

During the AN or BN determination, very weak acids or bases (respectively) are titrated, resulting in small enthalpy changes. By using a catalytic endpoint indicator, these weak acids and bases can also be determined by TET.
 

What is catalyzed endpoint indication?

Endpoint indication becomes difficult for titrations with small enthalpy changes, such as with weak acids or bases. In these situations, a catalytic endpoint indicator is used. The catalytic endpoint indicator undergoes a strongly exothermic or endothermic reaction during the titration. As with an indicator which changes color when all analyte has been titrated, the catalytic endpoint indicator only starts its reaction with the titrant after all analyte has been consumed. In this way, the indication of the endpoint becomes possible.

Figure 2. Thermometric titration system consisting of a 859 Titrotherm fully equipped with a Thermoprobe, titration stand and buret, and the tiamo software for the TAN or TBN determination.
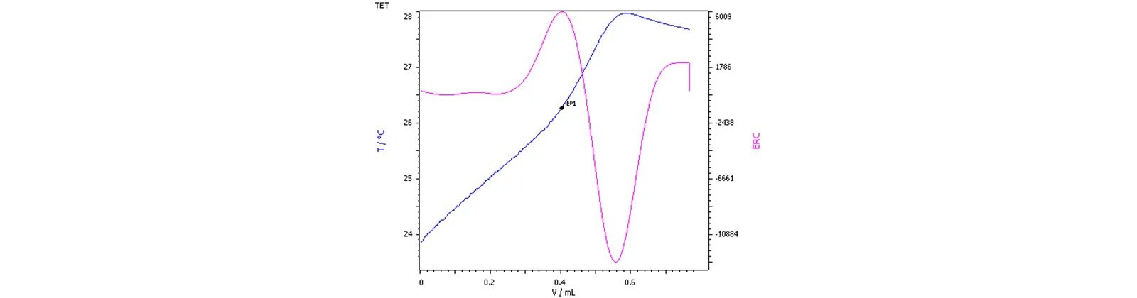
Figure 3. Thermometric titration curve of an acid number determination, resulting in a single, well-defined exothermic endpoint.

Acid number

An appropriate amount of the sample (depending on the expected AN) is weighed into the titration vessel, then 30 mL solvent mixture (isopropanol:xylene 1:3) and 0.5 g paraformaldehyde are added. After dissolution of the sample, the solution is then titrated with alcoholic KOH to a single exothermic endpoint.

Here, the paraformaldehyde acts as the catalytic endpoint indicator. As soon as there is an excess of KOH available it will de-polymerize in a strongly endothermic reaction, resulting in an exothermic endpoint.
 

For more detailed information about this application, download our free Application Bulletin.

Acid number in raw oils and petroleum products through TET in accordance with ASTM D8045

Figure 4. Thermometric titration curve of a base number determination, resulting in a single, well-defined endothermic endpoint.

Base number

An appropriate amount of the sample (depending on the expected BN) is weighed directly into the titration vessel, then 1 mL isobutyl vinyl ether and 40 mL toluene are added. After dissolution of the sample, the solution is then titrated with HClO4 in glacial acetic acid to a single endothermic endpoint.

In this situation, the isobutyl vinyl ether serves as the catalytic endpoint indicator. When an excess of HClO4 is present, it will polymerize in a strongly exothermic reaction, resulting in an endothermic endpoint.
 

For more detailed information about this application, download our free Application Bulletin.

Determination of the total base number in petroleum products


Summary

Thermometric titration provides a rapid and robust solution for the determination of the acid and base number in comparison to potentiometric or photometric titration. The method solves the issue of sample solubility by using more suitable solvents. Furthermore, less solvent is needed, and the analysis time is reduced. All this results in considerably lower costs per analysis, making it a viable alternative for the acid and base number determination.

Your knowledge take-aways

Avoid corrosion: A new method for TAN determination in crude oil and petroleum products

Click here to download

Many refiners look at discounted opportunity crudes as a means to improve their margin spread. The varieties of these cheap crude oils on the market are growing in number, but they have hidden risks for the purchaser caused by factors such as high naphthenic acid and sulfur content. Sulfur compounds and naphthenic acids are among the substances that contribute to the corrosive nature of crude oils and petroleum products. This is why the risk of corrosion is increased when processing crude oils with high naphthenic acid and sulfur content. The refiner must balance the cost benefit versus the risk and the cost of corrosion control when processing these crudes. A reliable acid number determination is a crucial part of corrosion control. Guest authors Bert Thakkar, Bryce McGarvey, and Colette McGarvey of Imperial Oil and Larry Tucker and Lori Carey of Metrohm USA were involved in the development of the new ASTM Method D8045 for acid number determination. Here, they report on the method and how it came to be.

Author
Meier

Lucia Meier

Technical Editor
Metrohm International Headquarters, Herisau, Switzerland.

Contact