Sie wurden zu Ihrer lokalen Version der angefragten Seite umgeleitet

Galvanostatische intermittierende Titrationstechnik (GITT) für Li-Ionen-Batterien

AN-BAT-003

2025-07

de

Diese Application Note beschreibt GITT, eine Schlüsseltechnik für die Untersuchung der Kinetik von Li-Ionen-Batterien, OCV und Diffusion, unter Verwendung von INTELLO für eine optimierte Steuerung und Analyse.

Die galvanostatische intermittierende Titrationstechnik (GITT) ist eine leistungsstarke elektrochemische Methode, die häufig zur Charakterisierung der Kinetik und Thermodynamik von Batteriematerialien eingesetzt wird.

Die GITT hat drei Hauptanwendungen für Lithium-Ionen-Batterien: die Bestimmung des Diffusionskoeffizienten, die Analyse der Leerlaufspannung (open-circuit voltage, OCV) sowie die Untersuchung der Überspannung und des Innenwiderstands. Letztlich liefert diese Technik wertvolle Einblicke in das elektrochemische Verhalten von Materialien unter realistischen Betriebsbedingungen und ist damit ein unverzichtbares Werkzeug für Forscher und Ingenieure, die an der Entwicklung und Optimierung von Batterien beteiligt sind.

Diese Application Note gibt einen Überblick über die GITT und erläutert die zugrunde liegenden Prinzipien, Verfahrensschritte und Anwendungen im Bereich der Energiespeicherung. In den folgenden Abschnitten werden die Methodik und die Datenanalyse beschrieben. Dabei wird auch die Software INTELLO und seine leistungsstarke Bibliothek an batterieorientierten Befehlen vorgestellt.

Ein GITT-Verfahren besteht aus einer Reihe von festen Stromimpulsen, die einer bekannten C-Rate entsprechen. Auf jeden Stromimpuls folgt eine Relaxationszeit, während der kein Strom durch die Zelle fließt. Der Strom ist während der Entladung negativ und während der Ladung positiv. Meistens wird die GITT an einer Drei-Elektroden-Batterie (d. h. einer Batterie mit einer Referenzelektrode) durchgeführt, obwohl es auch sinnvoll sein kann, die Methode an einer Zwei-Elektroden-Batterie durchzuführen.

Bei der Analyse der Daten werden einige Annahmen getroffen, die die Versuchsbedingungen beeinflussen, die während der Messung an die Zelle angelegt werden. Die erste Annahme ist, dass jeder Stromimpuls nur eine sehr geringe Potentialänderung verursacht. Damit das zutrifft, muss der Strom im Verhältnis zur Kapazität der Batterie klein sein – daher sind C-Raten von C/10 oder C/20 für die Stromimpulse üblich. Zudem wird die Länge des Stromimpulses relativ kurzgehalten, in der Regel zwischen 5 und 30 Minuten.

Die nächste Annahme ist, dass während des Relaxationsschritts ein Gleichgewichtszustand erreicht wird. Da die Zeit, die dafür benötigt wird, für jede Zelle und jedes System unterschiedlich ist, variiert die Länge des Relaxationsschritts entsprechend stärker. In einigen Fällen kann sie Minuten betragen, in anderen etwa 1-2 Stunden und in extremen Fällen sogar mehr als 10 Stunden. Es ist wichtig, dies bei der Untersuchung neuer Materialien zu berücksichtigen und die Relaxationszeit entsprechend anzupassen. Da eine vollständige GITT-Messung voraussetzt, dass die Batterie vom vollgeladenen Zustand bis zur vollen Entladung und wieder zurück zum vollständig geladenen Zustand gebracht wird, kann es in manchen Fällen länger als einen Monat dauern, eine komplette Messung durchzuführen. Da es sich um ein galvanostatisches Verfahren handelt, wird am Ende der Messung das Signal E vs. Zeit analysiert.

Abbildung 1. Vollständiges GITT-Potentialprofil einer Zwei-Elektroden-Batterie, die mit Stromimpulsen von 10 Minuten Dauer entladen und geladen wird, gefolgt von einer 60-minütigen Ruhephase.

In Abbildung 1 ist ein typisches GITT-Diagramm für eine Zwei-Elektroden-Batterie dargestellt. Das Diagramm weist zwei Zweige auf. Der erste Zweig entspicht der Entladung der Zelle bis zu einer unteren Cutoff-Spannung, und der zweite der Ladung die Zelle bis zu einer oberen Cutoff-Spannung. Ein vergrößerter Ausschnitt des Entladebereichs des Diagramms ist links unten in Abbildung 1 dargestellt. Daraus ist ersichtlich, dass die Darstellung aus einer Reihe von aktiven (blau) und ruhenden (orange) Schritten besteht. Das so durchgeführte Laden und Entladen der Batterie mit einer Serie von Stromimpulsen, hat einige interessante Auswirkungen, die es den Forschern ermöglichen, einige zusätzliche Informationen aus der Batterie zu gewinnen. Diese werden im Folgenden beschrieben.

Abbildung 2. Hier sind die ersten fünf Stromimpulse dargestellt. Die rosafarbenen Balken oben in der Abbildung beziehen sich auf den Strom, der während jedes Schritts an die Zelle angelegt wird. Hervorgehoben sind der iR-Drop, die Spannungsänderung während des Stromimpulses und die Spannungsänderung im Gleichgewichtszustand der Spannung aufgrund des Stromimpulses.

Während eines negativen Stromimpulses fällt das Zellpotential schnell auf einen Wert ab, der proportional zum iR-Abfall ist, wobei R die Summe aus dem unkompensierten Widerstand Ru und dem Ladungsübertragungswiderstand RCT darstellt. Anschließend sinkt das Potential langsam ab, verursacht durch den galvanostatischen Entladeimpuls, um einen konstanten Konzentrationsgradienten aufrechtzuerhalten. Wenn der Strompuls unterbrochen wird (d. h. während der Relaxationszeit), neigt die Zusammensetzung in der Elektrode dazu, sich durch Li-Ionen-Diffusion zu homogenisieren. Infolgedessen steigt das Potential zunächst plötzlich auf einen Wert, der proportional zum iR-Abfall ist, und nimmt dann langsam weiter zu, bis sich die Elektrode wieder im Gleichgewicht befindet (d. h. wenn dE/dt ≈ 0) und das Leerlaufpotential (open circuit potential, OCP) erreicht ist. Danach wird erneut ein galvanostatischer Impuls angelegt, gefolgt von einer Stromunterbrechung. Diese Abfolge eines Entladeimpulses gefolgt von einer Relaxationszeit wird so lange wiederholt, bis die Batterie vollständig entladen ist. Bei einem positiven Stromimpuls verhält es sich umgekehrt. Dieser Vorgang wird so lange wiederholt, bis die Batterie vollständig geladen ist.

In Abbildung 2 sind die ersten fünf Stromimpulse der Sequenz dargestellt; hervorgehoben sind der iR-Abfall sowie ΔEt – die Spannungsänderung während des Stromimpulses – und ΔEs – die Änderung der Gleichgewichtsspannung (steady-state) infolge des Stromimpulses. Alle diese Größen sind nützlich für die Analyse des GITT-Diagramms.

Diffusionskoeffizienten

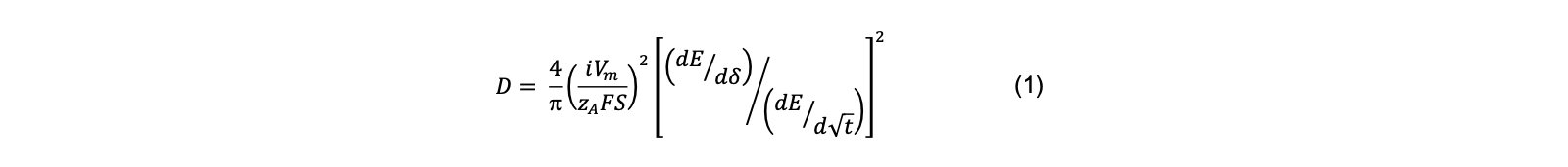
Die folgende Gleichung wird zur Berechnung des Diffusionskoeffizienten bei jedem Schritt (Stromimpuls plus Relaxation) im GITT-Verfahren verwendet. Ihre Herleitung aus den Fick'schen Diffusionsgesetzen wird an anderer Stelle erläutert [1-3].

Dabei ist i (A) der Strom, Vm (cm³/mol) das molare Volumen der Elektrode, zA die Ladungszahl, F die Faraday-Konstante (96485 C/mol) und S (cm²) die Elektrodenfläche. Außerdem ist dE/dδ die Änderung der Gleichgewichtsspannung und dE/d√t die transiente Spannungsänderung während eines Stromimpulses.

Wenn ausreichend kleine Ströme (z. B. C/20) für kurze Zeitintervalle (z. B. 10 Minuten) angelegt werden, kann dE/d√t als linear betrachtet werden. Unter diesen zusätzlichen Bedingungen lässt sich die vorherige Gleichung vereinfachen zu:

Dabei ist τ (s) die Dauer des Stromimpulses, nm (mol) die Stoffmenge, Vm (cm³/mol) das molare Volumen der Elektrode, S (cm²) die Elektrodenfläche, ΔEs (V) die Änderung der Gleichgewichtsspannung infolge des Strompulses und ΔEt (V) die Spannungsänderung während des konstanten Stromimpulses – unter Ausschluss des iR-Abfalls.

Typischerweise wird der Diffusionskoeffizient nach jedem Schritt bestimmt und anschließend als Funktion des Ladezustands (SOC) oder der Kapazität der Batterie dargestellt. Der sich ändernde Ladezustand geht mit physikalischen Veränderungen in der Elektrode einher, die die Diffusion von Lithiumionen beeinflussen können. Die Überwachung des Diffusionskoeffizienten auf diese Weise liefert wichtige Einblicke in die Batterieleistung über den gesamten Lade-/Entladezyklus hinweg und hilft Forschern, die Leistung der Materialien zu optimieren.

Leerlaufpotential (open circuit potential, OCP)

Das OCP eines Materials bei verschiedenen Ladezuständen wird während des GITT-Verfahrens sehr genau bestimmt und enthält einige interessante thermodynamische Informationen über das Batteriematerial [1].

In diesem Zusammenhang kann das OCP auch als die chemische Potentialdifferenz (μ) der Lithiumionen in der Kathode und Anode definiert werden:

In dieser Gleichung steht x für die Lithiummenge in der Batterie und e für die Größe der elektrischen Ladung.

Die Darstellung dieser Gleichung als Funktion des SOC oder der Kapazität ist ein nützliches Tool, um Veränderungen in der elektrochemischen Reaktion der Batterie während des Zyklus aufzuzeigen.

 

 

Überspannung und Innenwiderstand

Zusätzlich zum OCP kann es auch hilfreich sein, die Überspannung bei jedem Schritt zu beachten. Die Überspannung ist definiert als die Differenz zwischen der gemessenen Zellspannung am Ende des Stromimpulses (Emeas) und der Spannung am Ende der Relaxationsschritts (Eeq) [1].

Die Betrachtung der Überspannung als Funktion des SOC sowie des OCP kann kinetische und thermodynamische Veränderungen aufzeigen, die bei isolierter Betrachtung der Überspannung manchmal verborgen bleiben. Alternativ kann man auch Änderungen des Innenwiderstands betrachten, was im Wesentlichen einer Normierung der Überspannung auf den angelegten Strom entspricht:

Tabelle 1. Einzelheiten zu den in dieser Studie gemessenen Batterieproben.
Probe Anzahl der Elektroden Form Kapazität / mAh
1 Zwei Zylinder 3270
2 Drei Pouch 4150

Zur Veranschaulichung des Prinzips einer GITT-Messung wurde die Technik an zwei Batterien mit jeweils zwei bzw. drei Elektroden mit dem VIONIC-Messsystem unter Verwendung der Software INTELLO durchgeführt. In der INTELLO-Bibliothek gibt es zwei Standardprozeduren, die für GITT vorgesehen sind: eine für eine Zwei-Elektroden-Batterie und eine für eine Drei-Elektroden-Batterie. Die wichtigsten Parameter sind die C-Rate, die Impulsdauer und die Ruhezeit, deren geeignete Wahl im obigen Abschnitt zur Messung erläutert wird. Ebenfalls schnell verfügbar sind die Cutoff-Spannungen, die sich auf die untersuchte Batterie beziehen (lesen Sie weiter, für einige Beispiele). Für die 3-Elektroden-Prozedur sind Grenzwerte für die Signale WE-Second Sense (S2) und WE.potential angegeben. Schließlich sind Parameter zur Einstellung der dynamischen Abtastrate verfügbar. Die Standarddiagramme sind zur Vereinfachung bereits vordefiniert. Obwohl wir uns in dieser Application Note hauptsächlich auf INTELLO konzentrieren, wäre der gleiche Ansatz auch mit einem Autolab-Gerät und der Software NOVA möglich.

Tabelle 2. Experimentelle Details, die in dieser Application Note verwendet wurden.
Probe C-Rate Pulsdauer / min Ruhezeit /min
1 C/10 10 60
2 C/10 10 10

In beiden untersuchten Fällen wurden die Proben vor der GITT-Messung mit konstant 0,5 C vollständig aufgeladen. Probe 1 wurde dann von 4,2 V auf 3 V entladen und anschließend wieder auf 4,2 V geladen. Probe 2, die eine andere chemische Zusammensetzung aufweist, wurde von 3,65 V auf 2,5 V entladen und anschließend wieder auf 3,65 V geladen.

Abbildung 3. GITT-Profil von Probe 1, einer Zwei-Elektroden-Batterie mit einer Kapazität von 3270 mAh.

Das GITT-Profil von Probe 1 (der Zwei-Elektroden-Batterie) ist in Abbildung 3 dargestellt. Die Bedingungen wurden so gewählt, so dass es möglich war, das OCP, die Überspannung und den Innenwiderstand zu berechnen und diese Daten dann gegen den SOC aufzutragen. Da es sich jedoch um eine Zwei-Elektroden-Batterie handelt, ist es nicht möglich, die Diffusionsbeiträge von Anode und Kathode zu trennen, weshalb die Berechnung des Diffusionskoeffizienten unmöglich ist.

Abbildung 4. GITT-Profil der Probe 2, einer Drei-Elektroden-Batterie mit einer Kapazität von etwa 4150 mAh.

Das GITT-Profil von Probe 2 ist in Abbildung 4 dargestellt. In INTELLO gibt es drei Potentialsignale: WE.potential, S2.potential und WE-S2.potential. Die Standardverbindung zur Drei-Elektroden-Batterie wurde so hergestellt, dass WE+S mit dem Pluspol, CE+S2 mit dem Minuspol und RE mit der Referenzelektrode verbunden war. Das Signal WE.potential (S nach R) entspricht dem Potential an der Kathode, während das Signal S2.potential (S2 nach R) das Potential an der Anode darstellt. Wenn S2.potential vom WE.potential subtrahiert wird, ergibt sich die Spannung über die gesamte Batterie (also das Signal WE-S2.potential). In diesem Fall ist das GITT-Profil also die WE-S2-Spannung in Abhängigkeit der Zeit. Die beschriebene Analyse kann aber auch unabhängig für jedes Spanungssignal (WE-RE und S2-RE) durchgeführt werden, was Aufschluss über die Diffusion von einem oder zwei Halbzellenmaterialien gibt.

Obwohl die experimentellen Daten eine weitere Analyse und die Berechnung der Diffusionskoeffizienten ermöglichen würden, war dies in diesem Fall leider nicht möglich, da die Oberfläche und das molare Volumen vom Hersteller der in diesem Experiment verwendeten Batterie nicht zur Verfügung gestellt wurden.

Das Prinzip der GITT-Technik wurde dargestellt und Methoden zur Datenanalyse vorgestellt. GITT ist ein leistungsfähiges, zerstörungsfreies Verfahren zur Analyse der thermodynamischen und kinetischen Eigenschaften von neuem Batteriematerial. Der Nachteil ist die lange Messzeit.

Das VIONIC-System unter Verwendung der Software INTELLO eignet sich sehr gut für die Durchführung von GITT an Zwei-Elektroden-Batterien sowie – dank der Second Sense (S2)-Funktion von VIONIC – auch an Drei-Elektroden-Batterien. Die Untethering-Funktion von VIONIC entlastet den PC des Benutzers während der Messung, was die langen Laufzeiten dieser Experimente etwas ausgleicht.

GITT

 

  1.  Kim, J.; Park, S.; Hwang, S.; et al. Principles and Applications of Galvanostatic Intermittent Titration Technique for Lithium-Ion Batteries. J. Electrochem. Sci. Technol 2021, 13 (1), 19–31. DOI:10.33961/jecst.2021.00836
  2. Shen, Z.; Cao, L.; Rahn, C. D.; et al. Least Squares Galvanostatic Intermittent Titration Technique (LS-GITT) for Accurate Solid Phase Diffusivity Measurement. J. Electrochem. Soc. 2013, 160 (10), A1842. DOI:10.1149/2.084310jes
  3.  Zhu, Y.; Wang, C. Galvanostatic Intermittent Titration Technique for Phase-Transformation Electrodes. J. Phys. Chem. C 2010, 114 (6), 2830–2841. DOI:10.1021/jp9113333
Kontakt

Metrohm Deutschland

In den Birken 3
70794 Filderstadt

Kontakt